都学歯会員ページ
東京都学校歯科医会について
会長挨拶
沿革
事業概要
組織
定款
事業計画・収支予算・決算報告
関連団体サイト
個人情報保護規程
お知らせ・公募
ニュース
各種大会
東京都学校歯科保健優良校表彰
歯の作文
歯・口の健康に関する図画ポスター
歯・口の健康に関する標語
功労者関係
助成事業
写真募集
会員検索
学校保健統計/Q&A
学校保健統計調査報告
歯科疾患
DMFT-中学校1学年
歯科保健状況(乳幼児期)
歯科保健状況(学齢期)
Q&A
都学歯ライブラリー
出版物
広報誌バックナンバー
会誌バックナンバー
学校歯科医の実務書類
学校歯科医の推薦
アクセス
東京都学校歯科医会について
会長挨拶
沿革
事業概要
組織
定款
事業計画・収支予算・決算報告
関連団体サイト
お知らせ・公募
ニュース
各種大会
東京都学校歯科保健優良校表彰
歯の作文
歯・口の健康に関する図画ポスター
歯・口の健康に関する標語
功労者関係
助成事業
学校保健統計/Q&A
学校保健統計調査速報
歯科疾患
DMFT-中学校1学年
歯科保健状況(乳幼児期)
歯科保健状況(学齢期)
Q&A
都学歯ライブラリー
出版物
広報誌バックナンバー
会誌バックナンバー
アクセス
HOME
学校保健統計
歯科保健状況(学齢期)
令和3年 歯科保健状況(学齢期)
令和3年 歯科保健状況(学齢期)
2022年04月09日
出典:東京都福祉保健局 > 医療・保健 > 医療・保健施策 > 東京都の歯科保健対策 > 資料・報告書等 > 東京の歯科保健-東京都歯科保健医療関係資料集-
印刷用ダウンロード:
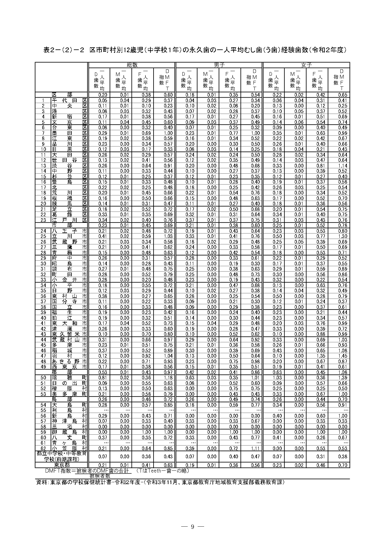
『東京の歯科保健—東京都歯科保健医療関係資料集—令和3年10月』の 2 歯科保健状況 2-(2) 学齢期 部分の抜粋
検索する
Contents
DMFT-中学校1学年
Q&A
学校保健統計調査報告
歯科保健状況(乳幼児期)
歯科保健状況(学齢期)
歯科疾患