都学歯会員ページ
東京都学校歯科医会について
会長挨拶
沿革
事業概要
組織
定款
事業計画・収支予算・決算報告
関連団体サイト
個人情報保護規程
お知らせ・公募
ニュース
各種大会
東京都学校歯科保健優良校表彰
歯の作文
歯・口の健康に関する図画ポスター
歯・口の健康に関する標語
功労者関係
助成事業
写真募集
会員検索
学校保健統計/Q&A
学校保健統計調査報告
歯科疾患
DMFT-中学校1学年
歯科保健状況(乳幼児期)
歯科保健状況(学齢期)
Q&A
都学歯ライブラリー
出版物
広報誌バックナンバー
会誌バックナンバー
学校歯科医の実務書類
学校歯科医の推薦
アクセス
東京都学校歯科医会について
会長挨拶
沿革
事業概要
組織
定款
事業計画・収支予算・決算報告
関連団体サイト
お知らせ・公募
ニュース
各種大会
東京都学校歯科保健優良校表彰
歯の作文
歯・口の健康に関する図画ポスター
歯・口の健康に関する標語
功労者関係
助成事業
学校保健統計/Q&A
学校保健統計調査速報
歯科疾患
DMFT-中学校1学年
歯科保健状況(乳幼児期)
歯科保健状況(学齢期)
Q&A
都学歯ライブラリー
出版物
広報誌バックナンバー
会誌バックナンバー
アクセス
HOME
学校保健統計
歯科疾患
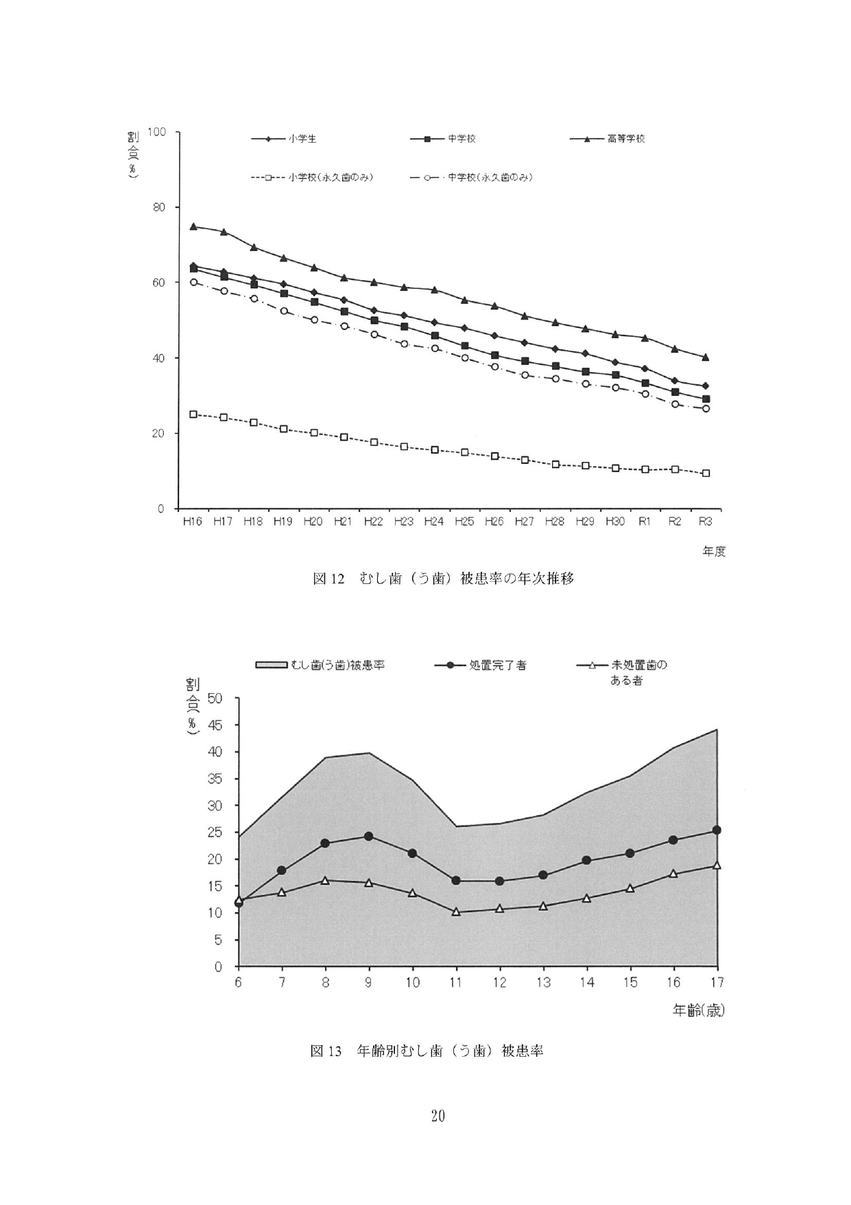
令和3年度 東京都の学校保健統計書|歯科疾患|(抜粋)
令和3年度 東京都の学校保健統計書|歯科疾患|(抜粋)
2022年04月09日
出典:東京都教育委員会 > 統計調査 > 東京都の学校保健統計調査 > 令和3年度東京都の学校保健統計書(定期健康診断疾病異常調査)
印刷用ダウンロード:
令和3年度東京都の学校保健統計書|歯科疾患|(抜粋)
下記は、『令和3年度東京都の学校保健統計書(定期健康診断疾病異常調査)』の中から、歯科疾患の部分を抜粋したのもです。
検索する
Contents
DMFT-中学校1学年
Q&A
学校保健統計調査報告
歯科保健状況(乳幼児期)
歯科保健状況(学齢期)
歯科疾患